Monday, October 12

In the problems considered in the previous lecture, we considered discrete changes in energy that took place while something happened--while our hiker climbed Mt. Si, while a kettle of water warmed up from room temperature up to the boiling point of water, etc.  In considering climate processes, we often need to consider the rates of transfer or rates of change of energy required to maintain a system in a steady state. We could restate the hiker problem in this way by considering the rates at which the hiker is expending energy: almost 300W in work against gravity plus another 1200W in waste heat--a total of 1500W and equating this to the rate at which he is either burning of calories of food, or drawing on the energy stored in the cells of his body, or both.

3.1.2 Modes of energy transfer

Next week, we'll equate the solar energy absorbed by the earth-atmosphere system to the energy that it has to radiate back to space in order to remain in a steady state: in other words, we'll assume that the earth is in radiative equilibrium with the sun.  Later, we will consider the energy balance of a region of the earth like the polar cap. In this case, we'll need to consider not only the radiative exchanges of energy, but also the exchanges that take place because of the flow of air and ocean currents into and out of the polar cap region.  But before we do that, it will be useful to consider more generally, the ways in which energy may be
transferred: conduction, convection, and radiation.  Conduction and convection are the subject of this lecture, and radiation will be covered in the next several lectures.

In heat transfer by conduction, molecules exchange kinetic energy through their random collisions with one another.  It can happen in a solid, liquid or gas, but it occurs more rapidly in gases, where the molecules are more mobile.  Molecular diffusion always acts in a way to make the temperature more uniform--to speed up the slow moving molecules at the expense of the fast moving ones.  Diffusion of energy proceeds at the rate as the diffusion of the molecules themselves.  If we were to open a vial of perfume and wait for diffusion to spread the scent throughout the room, it would take hours to reach the opposite side of the room.  The scent actually spreads much faster than that because air currents in the room, which involve organizd motions of molecules, spread mass (and energy) much faster than the random molecular motions do.  Conduction takes a long time because there are so many molecules--more than 10 to the 24th power in this classroom alone.  Just as it takes a long time to transmit a message if you have to pass it along through many people, it takes a long time to pass kinetic energy across the room by depending on random molecular collisions. Organized molecular motions (i.e. convection) are much more efficient at moving molecules over large distances.  Diffusion is the primary mode of energy transfer and mass transfer above 105 km in the atmosphere, where the typical distance between molecular collisions is large enough so that convection occurs rapidly enough to compete with convection.  If the distance between collisions are large enough, diffusion has to win out, because random molecular motions are orders of magnitude faster than organized fluid motions.

3.1.3 Why is the atmosphere well mixed

Wherever diffusion is in control, the heavier molecules like O2 and N2 tend to settle out relative to the lighter ones, like hydrogen and helium.  But the  layering of gases due to diffusion requires a space tens of miles deep to be noticeable.  One wouldn't expect to observe it in a chamber the size of a classroom, even if the air were very thin.  We could artificially create a layering of gases in the classroom, for example, by putting dry ice pellets on the floor and letting them sublime into a cold cloud of carbon dioxide gas, but it wouldn't be long before the carbon dioxide molecules would be well mixed throughout the room.  The molecular or fluid motions themselves could never create that kind of layering. The organized fluid motions responsible for convection don't discriminate on the basis of molecular weight.  Below 105 km, where convection is in charge of the mixing mass, the composition of the atmosphere is remarkably uniform except for gases like water vapor and ozone which (like the perfume) can have strong local sources (or sinks).

Convection is so important in atmospheric sciences that we have two different names for it: advection refers to the horizontal mixing of mass and energy over large distances by the winds, and convection refers strictly to vertical mixing by rising and sinking plumes of air like the ones that take on a visible form in cumulus clouds.

In some situations air convects (mixes vertically) quite freely. Buoyant plumes or invisible bubbles can rise from the earth's surface all the way up to the tropopause in a matter of an hour.  At other times, convection is completely suppressed. Smoke or haze can spread out in thin layers that maintain their identity for hours.  What is it that determines whether the atmosphere is convective or stratified (layered)? In short, it's the lapse rate: the rate at which the environmental temperature decreases with height.  If it decreases relatively rapidly (i.e. if the air aloft, several km above the surface) is much colder than the air at the surface, then the air mass is likely to be convective.  If temperature decreases slowly with height, or not at all, then the air mass is likely to be stratified.

3.1.4 How the lapse rate affects vertical mixing

To understand the relationship between the lapse rate and the ability of air to mix vertically, we have to use two other laws of thermodynamics: 1) At a given pressure (or level in the atmosphere) cold air is denser than warm air, and  2) air cools when it expands, even if no heat is removed from it.  The first of these laws needs no explanation. The second is a special application of the First Law of Thermodynamics considered in the previous lecture.  We experience it when we feel the coolness of an aerosol can (or a tire) from which air has just been allowed to escape, or the warmth of a tire that has just had air rapidly pumped into it.  In order to expand, air has to do work on its surroundings: it has to push the neighboring air molucules away.  The work done is at the expense of of the internal energy stored in the random molecular motions of the gas--i.e. the temperature.  We can liken the molecules of an expanding parcel gas to perfectly elastic balls bouncing off a wall that is receding. In the process of bouncing off the wall they lose kinetic energy.

If an air parcel rises in the atmosphere without exchanging energy with its surroundings, it will expand and cool. For each kilometer that it rises, its temperature will drop by about 10C (18F).   In a similar manner, if an air parcel descends, it will be compressed by the increasing weight of the overlying air and it will warm at a rate of about 10 C per km.

Now let us suppose that the environmental lapse rate on a particular day just happens to be zero, so that it is the same temperature up in the mountains (and aloft) as it is at the ground down in Seattle, say 20 C. That's not an unusual situation this time of year.  Now suppose we have a perfectly elastic, weightless, and perfectly insulated balloon full of air at the same temperature as the environmental (outside) air at some reference level, for example, the top of the Space Needle.  If we were to release the balloon at the reference level it would just float there, since the fabric is weightless and the air inside is at the same density of the outside air.

Now let us lift the balloon, say, 100 meters above the reference level and release it.  The temperature of the air inside it should drop by (10 degrees per km) x (0.1 km ) or 1 C relative to what it was at the reference level, so it will end up at 19 C.  But the temperature of the environmental air at this level is 20 C, the same as at the reference level.  Hence, the air in the balloon is colder and denser than the air outside.  The balloon is negatively buoyant and will begin to sink back toward the reference level.  What if we had lowered the balloon 100 meters below the reference level instead of lifting it?  In this case it would end up 1 C warmer than its surroundings (i.e., 21 C versus 20 C).  Hence it would be positively buoyant and begin to rise back toward the reference level.  In both cases the balloon experiences a restoring force that tends to drive it back towards its original level.  We refer to such a situation as a stable equilibrium, and we consider a lapse rate of zero to be a stable lapse rate.

Now let us repeat this thought experiment, only this time let's assume that the environmental lapse rate id 5 C per km-- i.e., that it's 5 C colder at the altitude of Snoqualmie Pass than it is in Seattle .  If we lift the balloon 100 m it still cools by 1 C,, only this time the temperature is not the same as it is at the reference level:  it's colder by (5 C per km) x (0.1 km) or 0.5 C.  Hence the balloon is only 0.5 C colder than the outside air (19 C versus 19.5 C).  It's still negatively buoyant-- it will sink, so we can think of the balloon as being in a stable equilibrium.   But now it doesn't sink back toward its reference level as rapidly because the restoring force is only half as large as in the previous case.

What would happen of the environmental lapse rate were exactly equal to 10 C per km?  In this case it's clear that as we lift or depress the balloon, the temperature of the air inside it will change at a rate that just matches that of the environmental air.  If there's no temperature difference there will be no net vertical force, either upward or downward. We refer to this situation as neutral equilibrium. When the lapse rate is in this range there is no resistance to convection: we call it neutral lapse rate. If the environmental lapse rate is even large than 10C per km the lifted balloon will be positively buoyant. Instead of sinking back to its reference level it will rise farther. We refer to such a situation as an unstable lapse rate.  Unstable lapse rates are conducive to vigorous convection--the kind that can make aircraft landings a bit bumpy on a hot afternoon.  We never observe lapse rates much in excess of 10 C per km because convection produces virgorous vertical mixing with rising of warm, buoyant plumes of air, and sinking of colder, denser plumes of air, and that exchange of warm and cold air in the vertical decreases the lapse rate back toward the critical value of 10 C per km.  We can and often do observe convection when lapse rates are in the range of 7-10 degrees per km because the condensation of water vapor in plumes of rising air serves as a heat source and adds to their buoyancy. The most vigorous convection in the atmosphere is the kind in which water vapor plays this role.  It always involves clouds with lumpy textures. When such clouds are present, we know that convection is present and transferring heat upward.

The strong relationship between lapse rate and static stability explains why vertical mixing is so strongly inhibited in the stratosphere and within inversion layers (layers in which temperature increases with height) that sometimes form within the troposphere. The reason why the Los Angeles area experiences such frequent air pollution during summertime is the prevalence of a cool, shallow marine air mass that has been advected over the city by the seabreeze, which is overlain by warmer continental air.  At the interface between the two air masses, a few thousand feet above the surface is a strong inversion layer.  The smog is trapped below the inversion layer: when one flies upward through it the visibility increases dramatically and the relative humidity drops.
 
 

Tuesday, October 13

3.2 Radiation

3.1.2 Basic concepts

Many processes on the earth (like winds and weather) and especially all forms of life need a constant source of energy. Most of this energy  comes from the sun in form of radiation. Unlike conduction or convection radiation transports energy from one object to another, without requiring a medium  in between those objects: the energy emitted from the sun travels through space (which is essentailly vacuum) in the form of electromagnetic waves.

Electromagnetic waves have, like all other waves, an amplitude (A)  and a wavelength (l):


The amplitude is a measure of the strength of the wave, the wavelength is a measure of the distance between maxima (or minima) of the wave. The wavelength of electromagnetic waves ranges from some nanometer (10-9 meter), which is so small that you could not even see it under the microscope to some hundreds of meters.

The electromagnetic spectrum is a classification of the electromagnetic waves according to their wavelenghts. Looking at the figure below it is clear that electromagnetic waves with different wavelengths play a very different role on our daily life. Visible and infrared radiation will be most important for our considerations on climate.

Waves and Energy

at the same amplitude short waves carry more energy that long waves
at the same wavelength a wave with a higher amplitude has more energy that a wave with a lower amplitude

Absorption and Emission

All solid and liquid objects emit radiation all the time and surprisingly they emit radiation at all wavelengths. But they emit most of their radiation near a specific wavelength (which we will call lmax). This wavelength (at which an object emits most) is related to the temperature of that object. The radiation that comes from a hotter objects has  more energy and thus a shorter wavelength than radiation that comes from a cold object. This is described by Wien's Law:  lmax= const/T. The value of the constant is: 3.10-3 m/K and if you plug in the temperatures of the earth (~300K) and the sun (~6000K) you will find that the sun has a  lmax of  0.5 mm (i.e. it emits mostly in the visible) and the earth has a lmax of 10 mm, which lies far in the infrared regime.

If you turn on a heating plate it will first emit in the infrared (which you will feel as heat), but as it gets hotter and hotter the wavelength of its radiation shifts to shorter and shorter wavelengths that will eventually be visible which means that the heating plate begins to glow.

These two examples show that only very hot objects emit radiation that we can actually see and that most objects we encounter in our daily life are much too cold to emit in the visible. The reason we can still see them is because they reflect some of the visible light that comes from the sun. They will appear in different colors according to which wavelength they reflect. Objects that don't reflect any visible light appear black, and objects that reflect all visible radiation appear white. The fact that objects reflect part of the incident radiation is not limited to the visible light, objects also reflect in the infrared. To describe that behavior we define an absorptivity (a).

The absorptivity can vary between 0 and 1, wich means
a = 0 ...  the object does not absorb anything (reflects everything)
a = 1 ... the object absorbs everything (emits nothing)
0< a < 1 ... the object absorbs the corresponding fraction of the incident radiation (e.g. a = 0.5 means it absorbs half of the radiation)

The absoptivity of most objects varies with wavlength, that means an object can be a very good reflector in the visible (it will appear white to the eye), but at the same time it can absorb almost all the radiation in the infrared. In fact most objects around us (except metals) are very good absorbers in the infrared regardless of their color in the visible.

In analogy to the visible we can define a very useful (but unfortunately hypothetical) object: The Black Body. This is an object that absorbs all the radiation at all wavelengths. (Sometimes we also speak of a black body in relation to a certain wavelength, for example we would say  that an object is "black in the infrared" to suggest that it absorbs all the radiation in the infrared, although it might reflect in the visible and not at all appear black to the eye)
 

Wednesday, October 14

3.2.2 RADIATION TEMPERATURE:

In the last lecture we saw that the wavelength of the radiation that is emitted by an object depends on the temperature of that object. But that is not all: Also the amount of radiation emitted changes with the temperature of that object. In fact it increases drastically with increasing temperature.  To describe this increase in a scientific way we have to define, what we mean by 'amount of radiation': The energy transported by electromagnetic radiation is measured in Watts [J/s], but this is not exactly what we are interested in, because the total power an object emits depends not only on the temperature but also on the size of the object (a very small hot object, could emit less total radiation than cooler large one, and things could get very confusing). To get independent from the size of the object that emits or absorbs radiation we consider only how much it emits or absorbs per m2. This quantity is called intensity (I) and it  is (not surprisingly) measured in watts/m2.

The figure below shows how much intensity is emitted by the earth and by the sun at each wavelength (solid orange curve). We can see two things:
The wavelength at which the sun emits most radiation is much shorter (0.5 mm) than the maximum wavelength of the earth (10 mm). The visible wavelengths are indicated in their respective colors (with red having the longest wavelength and purple the shortest).
The emitted intensity of the earth is much lower that that of the sun, in fact the suns intensity had to be reduced by a factor of 100000 in order to fit on the same page, so the difference in the amount of radiation is 100000 times bigger than you can see on the graph.

This enormous difference arises because the intensity depends on the 4-th power of the temperature.

This is described in the famous Stefan-Boltzmann Law:

I = a x s x T4 , the emitted intensity is equal to the absorptivity times a constant (the Stefan Boltzmann constant) times the fourth power of the temperature.

This gives some interesting insight on the emission properties of the Black and White Bodies:

Black Body (a=1):     I = 1 x s x T4 = s x T4
White Body (a=0):     I = 0 x s x T4 = 0

Any other object with 0< a< 1 emits only a fraction of  what a black boy emits. For example an object with absorptivity a = 0.5 emits
I = 0.5 x s x T4, which is only half of what a black body of the same temperature emits. An object with an absorptivity of 0.1 will only emit a tenth of a black body. It can be stated that good absorbers are also good emitters, and bad absorbers are bad emitters.

An infrared radiation thermometer measures the radiation an objects emits in the infrared and calculates the temperature of the object. Unfortunately there is no way the instrument can measure the absorptivity of an object, so it has to assume that all objects of interest are perfect absorbers (black bodies) in the infrared. This is not as bad as it seems at first, because most objects have absorptivities close to 1 in the infrared. We measured the temperature of a couple of objects (including ice water) and got quite good results, but as we measured a tin plate swimming in the ice water at 0 C the thermometer showed a temperature, that was way too high. This is because metals are quite good reflectors in the infrared, so it emits little at its own temperature, but reflects (like a mirror in the visible) lot of radiation that comes from everywhere in the room, which is at 20 C. The radiation thermometer cannot distinguish between reflected and emitted radiation, so it measures a mixture of radiation coming from a cold object and from the warm room and shows a temperature that lies somewhere between the temperature of the room and the actual temperature of the tin plate.


 

Thursday, Oct. 15

3.2.3 Why are outer planets colder? (The inverse square law)

With the notable exception of Venus, which we'll talk about in the next lecture, radiation temperatures of the planets decrease with distance from the sun. This decrease can be understood in terms of the "inverse square law" which says that the intensity of solar radiation incident on a planet, measured in watts per square meter, decreases in proportion to the planet's distance from the sun.

One simple way to visualize this relationship is to watch how the illuminated rectangle on the screen changes as an overhead projector is moved backward, away from the screen. Both the horizontal and the vertical dimensions of the rectangle increase in linear proportion to the distance from the screen. Hence, the illuminated area, which is the product of the horizontal and vertical dimensions, increases as the square of the distance. The same amount of light from the projector is being spread out over a wider and wider area, and so the brightness of the image decreases as the image grows in size.

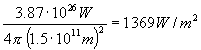
In thinking about the solar radiation incident on the planets it is useful to imagine a series of spheres, concentric with the sun, like layers of an onion, that interesect each of the planets. The sphere intersecting the earth would have a radius of 150 million km (1.50 x1011m), the mean distance between the earth and the sun. Energy is conserved as it passes through the space between successive spheres. Hence, the energy radiating outward through each sphere is the same: i.e. it is independent of the radius of the sphere, and it is equal to the energy emitted by the sun: 3.87x1026 W. The area of a sphere of radius r is 4 p r2.

Hence, the solar radiation incident upon the earth is:

The table below summarizes similar calculations for Venus, Earth, and Mars.
 
Planet Distance from Sun (106 km) Intensity of solar radition
Venus 108 2640
Earth  150 1396
Mars 228 529

 

Friday October 16

3.2.4 Radiative equilibrium temperature of a planet

Temperature of a planet in radiative equilibrium with a distant sun.

Radiative transfer is the only process capable of exchanging energy between a planet like the earth and the rest of the universe. Since the temperature of the earth is not changing appreciably, despite the vast amounts of solar energy that it is continually absorbing, we can assume that it is in radiative equilibrium: i.e. that it is emitting infrared radiation to space at exactly the same rate that it is absorbing solar radiation--i.e., that:

outgoing radiation = incoming radiation.

The sun is so far away that the solar radiation reaching the earth can be treated as "parallel beam": i.e. as if it is all going in the same direction. This makes it easy to calculate the amount of solar energy intercepted by the earth. It is simply the intensity of the solar radiation (1369 watts per square meter) times the area of the earth. Since the radiation is parallel beam, the area is equivalent to that of a circular disk with the same radius as the earth's. So if R is the radius of the earth, then the area is p R2 Hence, the radiation incident upon the earth is 1369 watts per square meter x (4pR2) square meters. But not all the incident radiation is absorbed: some is reflected back to space. The reflected radiation divided by the incident radiation is called the "planetary albedo". Albedo is a synonym for whiteness. The earth's albedo, as estimated from satellite measurements of the reflected radiation, is 0.30, or 30%. The fraction of the incident solar radiation that is absorbed by a planet is one minus the albedo. Hence, the solar radiation absorbed by the earth is given by

Note that albedo and absorptivity are quite different concepts. Albedo depends upon radiative properties in the part of the electromagnetic spectrum in which solar radiation is emitted (i.e. visible and near-infrared wavelengths), and it relates to reflection only. Absoprtivity depends upon radiative properties at the wavelengths of the emitted radiation, and it relates to emission, as well as absorption. The absorptivity of the earth is nearly unity: it emits radiation to space almost as effectively as a black body. The absorbed solar radiation, averaged over the earth's surface, including the nighttime half, as well as the daylit part can be calculated by dividing the expression in the previous paragraph by the area of the earth's surface: it is (1369 x 0.70)/4 = 238 watts per square meter.

If we treat the earth as if it were a black body at temperature T, expressed in degrees kelvin, the average outgoing infrared radiation emitted to space per square meter of the earth's surface is given by a constant times T raised to the fourth power. The value of the "Stefan Boltzmann constant" is 5.67 x 10-8. Now we set the outgoing radiation equal to the outgoing radiation:

238 watts per meter squared

solving for T we obtain 255K, the radiation or (strictly speaking) the "radiative equilibrium" of the earth: the temperature at which the emitted infrared radiation equals the absorbed solar radiation. If the temperature of a planet is below its radiative equilibrium temperature it will emit less radiation that it absorbs. And it will thus gain internal energy (i.e., it will warm) until it reaches radiative equilibrium. In a similar manner, if its temperature is the above radiative equilibrium value it will cool back toward radiative equilibrium by emitting more radiation than it absorbs. The radiatve equilibrium temperature calculations for Earth, Venus, and Mars are summarized in the table below:
 
planet distance from sun albedo (1 - albedo) emitted radiation T (K)
Mercury 58 million km 0.06 0.94  442
Venus 108 0.78 0.22  227
Earth 150 0.30 0.70 238 255
Mars 228 0.17 0.83  216
Jupiter 778 0.45 0.55  105

The radiative equilibrium temperature of Venus is slightly lower than that of Earth because the albedo of Venus is so much higher. In principle, if a planet had an albedo close enough to unity, it could be very close to the sun and still be very cold. However, in this situation, even a slight decrease in albedo would cause a dramatic rise in temperature: i.e., the temperature of the planet would be highly sensitive to the albedo.


 

Monday October 19

3.2.5 Ice-albedo feedback

The major contributor to the earth's albedo is the partial cloud cover, but a significant fraction of it comes from the whiteness of the polar ice caps. If the earth were too warm, the ice caps would melt back/ and the darker colored boreal forests and tundra would expand poleward, lowering the planetary albedo. Now, let us suppose that the earth does warm slightly in response to a small increase in solar radiation. The temperature of the earth would rise until an equilibrium was reached with the enhanced solar radiation. The ice caps would melt back slightly in response to the temperature rise, lowering the planetary albedo, and increasing the absorption of solar radiation. This additional increase in absorbed solar radiation would produce an additional rise in T, which would melt additional ice, and so on. The melting of the ice constitutes a positive feedback, which increases the sensitivity of T to changes in incoming solar radiation.

Let's explore this "ice albedo feedback" mechanism by performing some simple calculations in which we assume that the solar radiation reaching the earth increases by 1%, from 1369 to 1383 watts per square meter. First, let's consider what happens when there is no feedback".  For this case it is easy to show, either by direct calculation, or by the use of differential calculus, that T would increase by 0.64 K. Now, let's add a small feedback. For each 1 K rise in T, suppose that the ice caps melt back enough so that the planetary albedo rises by one tenth of one percent. Now, if S increases by 1%, T will rise by 0.64 K and the albedo will dicrease by 0.64 K x 0.1% per degree = 0.064%, i.e. from 30% to 29.936%. The absorbed solar radiation will increase accordingly, and T will increase by another 0.05 K, bringing the total increase to 0.69 K.  The additional 0.05 K temperature rise will melt additional ice, producing additional warming, but it will be very small in comparison to the more direct effects considered above.  Hence, in this case, the ice-albedo feedback increases the sensitivity of T to a 1% increase in S from 0.64 K to 0.69 K.

Now let's consider a much stronger feeback with planetary albedo increasing by 1.3% per degree K change in S.  In this case, instead of a temperature rise of 0.05 K in response to the melting of the ice, we will expect a rise of 0.65K. In this case, the calculation won't converge: warming melts ice, which causes more warming, which melts more ice....until the polar icecaps are completely gone.   Conversely, cooling would cause the ice caps to expand, which would produce more cooling, which would expand the ice caps further...until the earth was covered with ice.  Note that the size of the original perturbations doesn't matter. If the feedback is strong enough, any perturbation, no matter how small, will trigger a transition to either an ice free or an ice covered planet.  When infinitely small perterbations lead to large changes, we say that the system is in a state of unstable equilibrium.

In the present climate, the polar icecaps are small and the ice-albeldo fedback is far too small to render the climate unstable.  But suppose that the earth was farther from the sun so that the icecaps extended into temperate latitudes. In this case, the ice-albedo feedback would be much larger because the melting or freezing that would occur in response to a given change in the earth's radiative equilibrium temperature would involve much larger areas than they do today.  It is conceivable that if the earth's climate ever became cold enough, it could become unstable with respect to the ice-albedo feedback and it would be subject to what scientists have called the "white-earth catastrophe":  the icecaps would grow spontaneously until they covered the planet, and the earth's radiative equilibrium temperatures would drop so low because of its high albedo that even a substantial increase in incoming solar radiiation would not be sufficient to cause the ice caps to melt.
 


 

Tuesday, October 20


3.2.6 The Cosine Law

Consider parallel beam radiation from a distant sun incident on a plane horizontal surface that extends one meter into the page. The sun is not necessarily directly overhead, but at some angle q relative to the vertical. q is called the solar zenith angle: when it is zero the sun is directly overhead; when it is 90 degrees the sun is on the horizon.


Imagine a reference plane normal to the incident radiation (also extending one meter into the page), as pictured below. The solar energy passing through the line AB in the reference plane must be exactly the same as that incident on the line AC that lies on the horizontal surface. Since the planes extend 1 m into the page, we can write:

S x AB = S' x AC,

where S is the solar energy density in watts per square meter incident upon the reference plane (1369 W/m2) and S is the energy density incident upon the horizontal surface. Since AC is longer than AB, S' must be equal to or less than S. This expression can be rewritten in the form of the ratios S'/S = AB/AC. Note that the angle between AB and AC is equal to the zenith angle q and that AB/AC = cos(q) It follows that

S'/S = cos(q) , or S' = S cos(q).

Some values of the solar energy incident upon the horizontal plane are

given below.
 
solar zenith angle solar elevation above horizon incident radiation (W m-2)
0 90 1369
30 60 1185
45 45  968
60 30 665
80 10 237
87 3 72
90 0 0

It is easy to compute the solar zenith angle at local noon if we know the latitude f and the solar declination angle d, defined as the latitude at which the sun is directly overhead at local noon:

q = f - d.

Let us consider a few examples. At the time of the equinox (times of equal day and night) around March 21 and September 21 the sun is directly overhead on the equator at local noon, so d = 0. At Seattle (47 N) the solar zenith angle at local noon is 47 degrees. At the times of the winter and summer solstices around December and June 21, d is -23.5 and +23.5 degrees, respectively and f is 70.5 and 23.5, respectively. Hence, the solar radiation incident upon a level surface at the top of the atmosphere over Seattle ranges from 457 to 1255 watts per square meter over the course of the year. No wonder why the midwinter sun seems weak in Seattle, even though this is the time of year when the earth's orbit is closest to the sun.
 
 


 

Wednesday, October 21


3.2.7 The Sun and Sun-Earth Geometry

Here's some background information on the sun and sun-earth geometry, not covered in the lecture, but highly relevant to the class.  We will be talking more about some of it with reference to the ice ages.

The sun rotates about its own axis with a period of 29 days, which is evident from watching the day-to-day movement of sunspots.  It exhibits an 11-year sunspot cycle in which the number of sunspots and flares varies by about a factor of ten.  During the active phase of the sunspot cycle, the earth's outer atmosphere is hotter and there are many more auroras and disturbances to radio reception.  Peaks in the cycle occurred in 1958, 1969, 1979, 1990, and the next is expected in 2001.  On the basis of satellite observations which started in 1979, it appears that the energy emitted by the sun varies by about 0.1% (1-2 watts per square meter) between the maximum and minimum in the cycle: it emits more when there are more sunspots.  The strength of the peak in the sunspot cycle varies from one cycle to the next: for example, the 1958 peak was nearly twice as strong as the peak that followed.  There is quite strong evidence based upon historical records that the sunspot cycle virtually disappeared during the. 1600's.  [If someone in the class can find a web link that tells more about the sunspot cycle, we'll include it here.] Astronomers have found evidence that the energy emitted by stars tend to increase as they age. The sun's emission is believed to have increased by 20-40% over its 4.5 billion year lifetime.

The earth's orbit around the sun is not quite circular.  It is 3.3%  closer to the sun closer to the sun during January than during July, which translates into about a 4 C difference in radiative equilibrium temperature.  This effect is overwhelmed by the changes in solar radiation in high latitudes resulting from the tilt of the earth's axis.

The earth's orbit and the sun lie in the same plane, which is called "the plane of the ecliptic".  If the axis of rotation were normal
(perpendicular) to the plane of the ecliptic, the noontime solar zenith angle would be the same as the latitude angle everywhere on earth, year round and daytime and nighttime would be of equal length.  But the earth's axis is tilted by an angle 23.5 degrees relative to the normal to the plane of the ecliptic, as shown in the figure below.  We know that it points in the same direction year because as night progresses, the stars rotate around the same 'pole star', regardless of what time of year it is.  At the time of the Northern Hemisphere summer solstice around June 21, the Northern Hemisphere is inclined towards the sun, and consequently receives much more solar radiation than the Southern Hemisphere, which is tilted away from the sun.  The differences are largest at high latitudes, where the Arctic is experiencing daylight 24 hours a day poleward of the Arctic Circle (66.5 N) while most of Antarctica is in darkness.  Six months later, when the earth is at the opposite point in its orbit around the sun, it is the Southern Hemisphere that experiences the longer days and the higher solar elevation angles.  Averaged over the entire year, the Southern Hemisphere receives slightly more solar radiation than the Northern hemisphere.  [Uli, this is a good "why" question.]

The plot of incoming solar radiation shown below, takes into account both the cosine law and the inverse square law. In applying the cosine law it averages the incoming dolar radiation over the entire 24-hour day, using zero for the nighttime hours and a time varying zenith angle during the daytime hours. Note that the average incoming radiation during the daytime hours is less than the values calculated in the previous paragraph, which refer to local noon.

These relationships are reflected in the plot of incoming solar radiation versus latitude and time of year.  Note that the radiation tends to be greatest at the latitude where the sun is directly overhead (i.e., underneath the dashed line labeled 'solar declination'.  The notable exceptions are the polar cap regions right around the times of the summer solstice.  In these regions the day long sunlight delivers more solar energy than in the tropics, despite the larger solar zenith angles.  Note that there is a strong equator-to-pole contrast in incoming solar radiation in the winter Hemisphere, but almost contrast in the summer hemisphere. The stronger wintertime contrasts drive a stronger atmospheric circulation with stronger jetstreams aloft and more vigorous storms in middle latitudes.  The polar night regions are indicated by stippling.  They are the sites of the 'ozone hole' phenomenon that we will be talking about in the final weeks of the course.

Here is a link to the sun-angle photo quiz that was a honework in the AtmS 211 honors class.

Thursday, October 22

3.2.8 The Greenhouse Effect

The presence of certain trace gases in the earth's atmosphere that are nearly transparent to incoming solar radiation, but at the same time are capable of absorbing and re-emitting infrared radiation emanating from the earth's surface has the effect of warming the surface of the earth by about 33 C, making it a much more habitable planet than it would be otherwise. The trace gases that have these special radiative properties are the ones whose molecules are comprised of three or more atoms. They are referred to as greenhouse gases because they trap heat near the surface of the earth. The most important greenhouse gases are carbon dioxide, water vapor and ozone, and others include methane, nitrous oxide and the various synthetic CFC's released from refrigerators and air conditioners.

In order to understand how greenhouse gases work, consider a hypothetical atmosphere that is all at a single temperature (independent of height) that is perfectly transparent to solar radiation but behaves as a black body in the infrared part of the spectrum: it absorbs all the radiation emitted by the earth's surface and emits the maximum possible amount of radiation, both upward to space and downward toward the earth, as determined from the same Stefan Boltzmann Law that we used in estimating the radiative equilibrium temperature of the planets. We will assume that the surface of the planet behaves as a black body too and that both the planet and its atmosphere are in radiative equilibrium.

Assume that the incoming solar radiation is S watts per square meter and that all of it reaches the surface of the planet and is absorbed and re-emitted as infrared radiation. Since the planet is in radiative equilibrium, it must re-emit these S watts per square meter in the form of infrared radiation. All this upward infrared radiation from the surface of the planet will be absorbed by the overlying "black body" atmosphere. They will be re-emitted as infrared radiation: half (S/2) in the upward direction to space, and the other half (S/2) in the downward direction toward the surface of the planet, where they serve as an additional energt sourse, augmenting the S units of direct solar radiation. The S/2 units, in turn, must be re-emitted by the surface of the planet. They will all be absorbed by the atmosphere and re-emitted: half (S/4) upward and half (S/4) downward... It is clear that this calculation is going to go on forever, but each time we repeat it the numbers will be only half as large as they were in the previous round. The surface of the planet receives S watts per square meter of direct solar radiation plus S/2 + S/4 + S/8 + S/16.... units of downward infrared radiation from the atmosphere. Fortunately, this infinite series converges: as we take into account more and more terms, the total radiation emitted by the atmosphere in the downward direction approaches S and the total absorbed and emitted by the surface of the planet approaches 2S.

One lesson we learn from the above calculation is that, in order to get rid of the S units of solar radiation that it absorbs, the surface of the planet has to emit a total of 2S units of infrared radiation. It's a bit like paying back a loan. Part of our loan payments are used to defray the interest on the loan. They require us to may more than we borrowed. We pay interest on the outstanding balance of the lean, which includes not only what we borrowed, but upon the interest charges that have accumulated to date. We could figure out what it will eventually cost us to pay off the loan by performing a recursive calculation like the one described above. The first term would be the interest on the principal; the second would be the interest on the interest on the principal, the third would be the interest on the interest on the interest on the principal.... As in the above paragraph, the total that we have to pay ends up being surprisingly large.

Now let's go back to our greenhouse problem and calculate the radiative equilibrium temperatures of the surface of the planet and its one-layer atmosphere, under the assumption that S = 240 watts per meter squared, the same as for the earth. We already know from our previous calculation that the radiative equilibrium temperature of a black body that emits 240 watts per meter squared of infrared radiation is 255 K. That has to correspond to the temperature of the atmosphere. The surface of the planet has to emit twice as much radiation: i.e., 480 W m-2. We know from the Stefan-Boltzmann law that the rate at which radiation is emitted by a black body increases in proportion to the fourth power of its absolute temperature. It follows that in order to emit twice as much radiation, a black body needs to be not twice as hot(in which case it would emit 16 times as much radiation) but the fourth root of 2 times as hot. You can calculate the desired ratio by taking the square root of 2 on your calculator, which yields 1.414 and taking the square root again, which yields 1.189. Hence, the temperature of the surface of the planet has to be 1.189 x 255 K = 303 K: quite a bit warmer than the mean surace air remperature of the earth (288 K). Evidently, the greenhouse effect can have a strong effect upon the surface temperature of a planet.


 

Friday, October 23


The Greenhouse Effect (continued)

Let's see what happens of we add another layer of air with greenhouse gases in it on top of the one that we just did the calculations for. We'll assume that this new layer is also a black body, transparent to solar radiation, and we'll let it determine its own radiative equilibrium temperature. We start the calculations as before and quickly discover that it's a mess, with so many fluxes of radiation going upward and downward between layers that it's hard (and boring) to keep track of them all. There must be a better (or at least a more interesting) way to solve this problem. Let's try another line of reasoning.

In order for the planet and its two-layer atmosphere to be in radiative equilibrium, it is clear that the topmost layer of the atmosphere has to emit S units of radiation upward to space. And it's clear from the one-layer problem considered in the previous lecture that if the top layer emits S units to space it also emits S units downward into the lower layer. Hence, if the system consisting of the planet and thelower layer of its atmosphere are to remain in radiative equilibrium, 2S units of infrered radiation has to be emitted upward from the lower layer of the atmosphere. But if the lower layer is to emit 2S units in the upward direction, it also has to emit 2S units in the downward direction. Hence, the surface of the planet is absorbing S units of solar radiation plus 2S units of infrared radiation emitted by the overlying atmosphere, or a total of 3S units. Using the Stefan-Boltzmann Law we deduce that the temperatures of the top and bottom layers of the atmosphere are 255 ans 303 K, respectively and the surface is 336 K.


Using the Stefan-Boltzmann Law with S = 240 watts per square meter, we deduce that the temperatures of the top and bottom layers of the atmosphere are 255 and 303 K, respectively and the surface is 336 K. By induction, we can infer that for each additional 'black body' layer we pile on the top of the atmosphere, the radiation emitted from the surface of the planet will increase by S and the radiative equilbrium temperature of the planet will incease accordingly. It's much like adding blankets. With three layers the radiative equilibrium temperature of the surface of the planet will rise 360 K; with four layers to 381 K, etc.

3.2.9 Absorption Spectrum

By considering a multi-layer atmosphere instead of just one layer at one single temperature we are beginning to get some sense of the radiative equilibrium temperature profile (or lapse-rate) in a planetary atmosphere. However, in order to understand what this profile looks like, there's another thing we need to consider. In order to behave as a black body, a layer has to contain enough greenhouse gases to absorb all the incident radiation passing through it. The thickness of a layer of air containing a given amount of greenhouse gases is inversely proportional to the density of the air within it. In the dense air of the lower atmosphere, a relatively thin layer of could conceivably contain enough greenhouse gases to enable it to behave as a black body, but in the rarified upper atmosphere, a much thicker layer would be required to produce a comparable amount of absorption. Hence, in the above examples, we should think of the layers as being (geometrically) thick at the top of the atmosphere and becoming progressively thinner as we descend into denser and denser air. It follows that the radiative equilibrium lapse rate must increase as we go down. If the atmosphere is thick enough and contains enough greenhouse gases, it must eventually exceed the lapse rate required to sustain convection (10 C per km in the earth's atmosphere). Below that level, convection will be the dominant mechanism for transferring heat upward from the surface of the planet, and the lapse rate won't increase any further. The atmospheres of Earth, Mars and Venus, and even the Sun have lower layers in which convection is the primary mechanism for upward transfer of energy and upper layers in which radiation dominates and the temperature is close to radiative equilibrium. Such atmospheres are said to be in radiative-convective equilibrium.

The simple model atmosphere that we have just considered is far too idealized to be considered realistic. At the cost of adding complexity could have improved it by represetine the atmosphere as a much larger number of much thinner layers that absorbed only a small fraction of the infrared radiation passing through them and by taking account of the nearly 20% of the incoming solar energy that is absorbed in its passage through the earth's atmosphere. We could have also added in the reflection of solar radiation at the layers where it actually occurs instead of deducting it at the top of the atmosphere. If we wanted the calculations to be really accurate we would also need to take into account the wavelength dependence of the absorption and emission of infrared radiation.

Each greenhouse gas has its own characteristic 'absorption spectrum'. Within certain wavelength ranges, called 'absorption bands' a particular gas will be very efficient at absorbing and emitting infrared radiation, while in other ranges, referred to as 'windows' it may be nearly transparent. For example, water vapor is relatively transparent at wavelengths around 10 microns. This wavelength band is used for much of the infrared imagery that is used for viewing clouds because it enables us to see through clear air so that we can focus on where the clouds are. On the other hand it is relatively opaque in the 6-7 micron range. Hence, it's no accident that he 6.8 micron channel is used for viewing the distribution of water vapor in clear air. To view today's weather as depicted in these two contrasting kinds of satellite imagery, click here. [http://www.atmos.washington.edu/data/weather.cgi#satellite] Note that the "infrared imagery' corresponds to the 10 micron "window" and the "water vapor imagery" to the 6.8 micron absorption band.

The absorption spectrum for the entire depth of the atmosphere (clean, cloud free air only) is shown in the bottom panel of the above figure. For reference, the spectrum of solar radiation is shown at the top (the blackbody curve for 5780 K) together with the corresponding spectrum for emitted terrestrial radiation (the blackbody curve for 255 K). At wavelengths shorter than 0.32 microns, the atmosphere is opaque, thanks to the presence of ozone. At visible wavelengths it is nearly transparent, but as we progress into the infrared range of the spectrum. beyond 1 micron, it becomes increasingly cluttered with absorption bands. Water vapor and carbon dioxide are evidently the most important greenhouse gases. Ozone also contributes, with its prominent absorption band near 9.6 microns. There are also contributions from methane and nitrous oxide and in more modern versions of this chart absorption bands of some of the freons are included as well.

The upper (11 km) absorption spectrum in the figure focuses on the gases in the stratosphere. The water vapor bands are much less prominent because the stratosphere is relatively dry. On the other hand, the ozone related features show up just as clearly as they do at ground level because most of the ozone is in the stratosphere.

Clouds droplets are very efficient absorbers of infrared radiation and thus contribute to the 'greenhouse effect'. Even a very thin cloud layer that barely whitens the sky is 'optically thick' enough in the infrared to behave as a black body. Hence, in infrared satellite imagery it is difficult to distinguish between thick, rain producing cloud decks and thinner cloud layers.

The contribution of any particular gas to the greenhouse effect obviously depends upon the amount of the gas present in the atmosphere and how strongly the gas absorbs infrared radiation.  But it also depends upon the position of the gas's absorption band(s) in the electromagnetic spectrum relative to those of the other gases that are present.  It will have a stronger effect if its absorption band(s) do not coincide with those of the other gases.  Some of the important greenhouse gases in the earth's atmosphere like methane, CFC's and carbon dioxide are present only in concentrations of parts per billion, compared to parts per million for carbon dioxide.  If they had absorption spectra that looked just like the one for carbon dioxide, their effect would be negligible.  They are important because they are capable of absorbing and emitting radiation in wavelength ranges in which carbon dioxide and water vapor are relatively transparent (i.e., in the "windows" of the absorption spectrum).  To cite an analogy, if you were to add a small amount of insulation to your house, it would have a much greater effect if you were to use it to plug up weak spots in the existing insulation where a lot of heat is escaping than if you were to pile it on top of the other insulation in the well insulated parts of the house.